Thermodynamic matrix exponentials and thermodynamic parallelism
Here, we provide a thermodynamic algorithm for exponentiating a real matrix. We describe a simple electrical circuit involving coupled oscillators, which can...
Here, we provide a thermodynamic algorithm for exponentiating a real matrix. We describe a simple electrical circuit involving coupled oscillators, which can...
Artificial intelligence wastes an extraordinary amount of energy - but running every computer calculation twice, first forwards and then backwards, could dra...
We consider an alternative physics-based computing paradigm based on classical thermodynamics, to provide a near-term approach to accelerating linear algebra.
Here’s a good review and summary of my book Field Guide to Continuous Probability Distributions : by Eric Regis
Upcoming: 2024-03-20, U. Chicago, Computations in Science Seminar
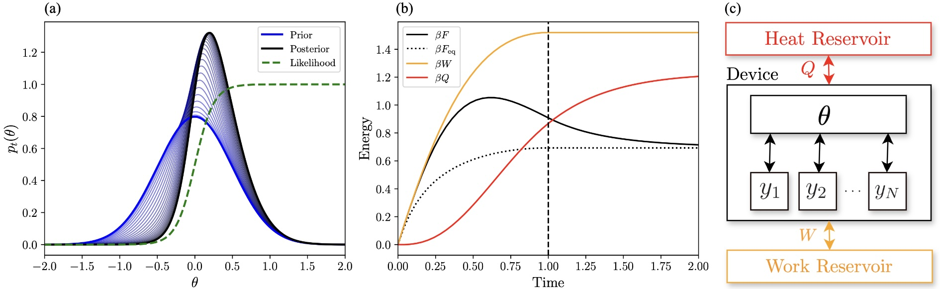
We consider an alternative physics-based computing paradigm based on classical thermodynamics, to provide a near-term approach to accelerating linear algebra.
We consider an alternative physics-based computing paradigm based on classical thermodynamics, to provide a near-term approach to accelerating linear algebra.
We consider an alternative physics-based computing paradigm based on classical thermodynamics, to provide a near-term approach to accelerating linear algebra.
We consider an alternative physics-based computing paradigm based on classical thermodynamics, to provide a near-term approach to accelerating linear algebra.
We consider an alternative physics-based computing paradigm based on classical thermodynamics, to provide a near-term approach to accelerating linear algebra.
Protein−ligand binding free-energy calculations using molecular dynamics (MD) simulations have emerged as a powerful tool for in silico drug design. Here, we...
A brief overview of information measures on classical, discrete probability distributions. Tech. Note 009 v0.8 [ Full Text ]
The Parameter Shift Rule is a cunning, recently developed method for evaluation gradients of quantum circuits on a quantum computer. But it has two problems…
Gavin E. Crooks (2020)
Notes on the circuit model of quantum computing. Currently mostly an exposition on the menagerie of quantum gates.
QuantumFlow: A Quantum Algorithms Development Toolkit and Cross Compiler
Source
For a native gate set which includes all single-qubit gates, we apply results from symplectic geometry to analyze the spaces of two-qubit programs accessible...
The (virtual) Journal of Lost Papers: Article 001
The Weyl chamber of canonical non-local 2-qubit gates. Papercraft meets quantum computing. Print, cut, fold, and paste.
Major server upgrade. The old server was getting very old and crufty. WebLogo moved to a shiny new AWS instance, with up to date installations of linux, apac...
The parameter-shift rule is an approach to measuring gradients of quantum circuits with respect to their parameters, which does not require ancilla qubits or...
Survey of over 170 continuous univariate probability distributions (and at least as many synonyms) organized into 20 families. First dead tree edition.
Gavin E. Crooks and Susanne Still, EPL 125:40005 (2019).
3.7 (2019-03-04) [Gavin Crooks] Refactor and cleanup code, removing python 2.7 support Extend API documentation WebLogo python package is now ‘webl...
The favorite physics equation in Shibuya is ゆらぎの定理, the fluctuation theorem! pic.twitter.com— Gavin Crooks (@gavincrooks) December 28, 2018
Gavin E. Crooks, arXiv: 1811.08419 (2018) [ PDF | Code]
Announcing QuantumFlow, a python package that emulates a gate based quantum computer using modern optimized tensor libraries (numpy, TensorFlow, or torch). ...
A brief overview of information measures on classical, discrete probability distributions. Tech. Note 009 v0.7 [ Full Text ]
C. M. Wilson, J. S. Otterbach, N. Tezak, Robert S. Smith, Gavin E. Crooks, and Marcus P. da Silva, arXiv:1806.08321 (2018)
Josh Fass, David A. Sivak, Gavin E. Crooks, Kyle A. Beauchamp, Benedict Leimkuhler, and John D. Chodera Entropy, 20(5):318 (2018).
More News…